发布时间:2025-08-18
编者按:该论文于2020年发表在《交通与运输工程期刊》第8卷 (《Journal of Traffic and Transportation Engineering》 8 )
作者:伊迪丝·塔塔里,塞莱尼切沥青公司研发部
Edith Tartari,Selenice Bitumi Sha, R&D Department
本文采用腾讯元宝全文翻译版,如有不妥之处,请多多包涵指正。后附期刊原文,请参阅。
亮点 (Highlights)
● 天然沥青Selenizza是一种添加剂,能显著影响道路沥青的力学行为。它能硬化改性沥青,改善其性能,并降低其老化敏感性。
● 使用天然沥青Selenizza和废弃植物油开发了一种新型结合料。
● 通过结合天然沥青Selenizza的硬化与抗老化效应以及植物油的再生特性,获得了一种再生剂,使得生产含有100%再生沥青路面(RAP)集料的沥青混合料成为可能。
摘要 (Abstract)本文旨在强调在沥青混合料设计中,使用天然沥青作为新兴环境可持续性创新和趋势的一部分所带来的益处。近期多项研究分析了天然沥青的特性,表明它们与炼油厂生产的沥青完全兼容,其影响可与化学添加剂相媲美。特别是,使用天然沥青Selenizza不仅增加了结合料的稠度、粘度和稳定性,而且赋予改性沥青更高的抗老化性,并在低温性能方面优于同等针入度等级的直馏沥青。使用天然沥青改性的结合料获得的高模量沥青混合料,能够成功应对日益增长的交通量,同时实现更薄、更耐久的有效路面结构。本文特别介绍了近期研究工作的主要结论,该研究首次关注使用植物油(菜籽油和葵花籽油)来软化天然沥青Selenizza,旨在开发用于沥青混合料的新型结合料,并介绍了一种新型高模量沥青混凝土(HMAC)的实验研究,该混凝土包含100%的再生沥青路面(RAP)集料,这得益于一种由废弃植物油和天然沥青Selenizza组成的再生剂,该再生剂逆转了结合料的老化流变特性并恢复了新鲜沥青的性能值。
关键词 (Key words): 天然沥青,老化,植物油,再生剂,RAP,Selenizza。
1. 引言 (Introduction)
在全球环境变化的背景下,热拌沥青(HMA)行业重新聚焦于长寿命HMA路面建设,推动创新理念、方法和技术的开发与测试。交通量和荷载方面日益增长的运输需求带来了巨大的挑战,需要我们将研究努力投入到进一步加强HMA设计和改进公路建设中使用的材料选择上。生产高含量再生沥青路面(RAP)的沥青混合料,似乎是当前柔性路面设计趋势和发展中的主要应用之一,可带来更大的经济和环境效益。
沥青结合料及其物理和流变特性随时间的变化,对沥青混合料的主要粘弹性特性有显著贡献,并在确保其性能方面发挥着关键作用。在当前努力集中于节能和开发低碳技术用于沥青路面建设的总体框架下,法国研究人员研究了开发一种新型结合料的可能性,该结合料通过混合天然沥青和废弃植物油生产,从而规避了使用石油精炼沥青,其生产意味着消耗不可再生的自然资源,并对二氧化碳排放产生高影响。通过结合天然沥青Selenizza的硬化和抗老化特性,以及植物油赋予沥青更高柔韧性的能力,获得了一种新型沥青结合料,其流变和力学性能类似于传统的35/50道路沥青。使用这种新型结合料的沥青混凝土配合比设计(JMF)的性能,在刚度模量、抗车辙性和水敏感性方面进行了表征。
与此同时,德国埃尔福特大学最近进行了一个研究项目,研究并试验了使用100% RAP沥青和一种由植物油与天然沥青Selenizza组成的再生剂的新型磨耗层混合料设计。在该研究中,分析了12种具有相同集料和级配曲线的沥青混凝土变体及其相应结合料在老化前、老化后以及引入再生剂后的力学和粘弹性行为。与参考变体和老化变体相比,在老化后添加了再生剂的JMF变体中,观察到疲劳阻力显著改善,低温开裂风险降低。
2. 天然沥青添加剂Selenizza的硬化效应与抗老化特性 (Hardening Effect and Anti-aging Properties of Natural Bitumen Additive Selenizza)
长期以来,人们对天然沥青作为沥青改性剂的潜力表现出有限的兴趣,其在道路建设中的应用被低估并大量忽视。直到最近,研究人员才开始关注这个问题,原因是公路建设中可持续发展的主要挑战,需要在保护环境的同时提供高使用性能的道路。高模量沥青混合料市场的增长,以及对硬质沥青日益增长的需求,揭示了使用天然沥青作为聚合物添加剂和其他直馏沥青改性剂的有用替代品的必要性。
罗马大学“La Sapienza”的Santarelli和Scarsella[1]研究了使用流变学和热测量技术,用天然沥青改性蒸馏沥青时发生的性质变化。分析了三种最常用的天然沥青类型:来自犹他州矿床(美国)的Gilsonite、来自阿尔巴尼亚的Selenizza以及来自中美洲的特立尼达湖沥青(Trinidad Lake Asphalt)。为了研究改性的性质以及这些天然沥青作为改性剂的效率,将每种天然沥青10%(重量)添加到标准的80-100针入度等级沥青中,并在最低150-180°C的温度下混合,以确保完全溶解。
正如预期的那样,在这三种情况下,与原始标准沥青相比,所得改性沥青的特征是软化点(R&B温度)更高,针入度值更低,这是由于天然沥青中含有高比例的沥青质。观察到改性沥青样品中存在的沥青质百分比与各自的软化点值之间存在比例关系。
动态流变测试表明,中高温(50÷160°C)下的流变行为不取决于改性剂的质量,而完全取决于其沥青质含量。原始沥青和用三种天然沥青改性的样品的复数粘度值随温度变化的趋势,反映了改性后粘度值的增加。与标准沥青的粘度曲线相比,改性样品的粘度曲线向上移动,但它们保持相同的形状和斜率,并且彼此平行(图1)。这意味着改性剂不影响改性沥青中沥青质组分之间的内部相互作用,这是相容性添加剂的典型现象。

调制差示扫描量热(MDSC)分析表明,直馏沥青的流变行为在低温下受天然沥青添加的影响不大,但在高温下则发生显著改变。
软化温度的比较(来自原始沥青和改性样品之间的反转曲线)表明,添加特立尼达沥青和Selenizza天然沥青,由于其胶质相的摩尔质量较低(与参考沥青相比),降低了参考沥青软化范围的下限,对后者产生了稀释效应。由于基础沥青的胶质相在55.8°C开始软化,观察到其与特立尼达沥青的混合物在45.9°C开始软化,而与Selenizza的混合物则在低于45.9°C的温度下开始软化。相反,观察到Gilsonite不影响不同胶质相和沥青质相的熔化温度,但将原始沥青的软化范围扩展到更高的温度。
这项研究表明,添加天然沥青所产生的变化性质最终由其组成决定,特别是其沥青质含量。改性沥青的特征是稠度、粘度和稳定性值增加,赋予沥青混合料更好的抗永久变形能力。
法国斯特拉斯堡大学最近进行的一项研究工作,研究了使用在阿尔巴尼亚开采的天然沥青Selenizza生产硬质沥青结合料和高模量沥青混合料的潜力。
在Themeli等人[2]的这项研究中,使用IATROSCAN分析确定了Selenizza的沥青质含量值。为了在整个矿床体积范围内更好地表征天然沥青的质量,分析了从矿床深部和近地表区域采集的原始和提纯沥青样品(表1)。
胶体不稳定指数Ic值表明,Selenizza的有机相具有溶胶或溶胶-凝胶特性,含有足够数量的胶质来胶溶沥青质。

调查结果表明,在物理和化学方面,Selenizza类似于石油沥青(与后者形成稳定的混合物),但具有更高含量的胶质和沥青质,这赋予了天然沥青更高的刚度和更高的玻璃化温度。
本研究工作中使用差示量热分析来确定用不同百分比的天然沥青Selenizza改性的沥青的玻璃化转变。玻璃化转变温度Tg与沥青在低温下的力学行为相关。表2研究了用Selenizza改性的50/70样品的玻璃化转变演变。
从表中可以看出,Tg、△Tg和△Φ没有变化,添加Selenizza不影响沥青的玻璃化转变。同时,随着改性率的增加,观察到可结晶部分略有减少。值得注意的是,该分析显示经Selenizza改性的35/50级沥青的玻璃化转变温度为Tg = -23.1°C,低于同等铺路等级35/50的基准石油沥青(其玻璃化温度为Tg = -19.3°C)。这似乎表明,添加5% Selenizza的改性沥青,与同等等级的石油沥青相比,具有更高的抗低温开裂能力。
由于炼油厂生产的硬质沥青通常具有相对较高的老化敏感性,这一特性在路面性能中起着重要作用,该研究特别关注了分析用天然沥青改性的沥青在人工老化过程中的演变以及后者避免此缺陷的能力。
一个50/70沥青样品,用不同百分比的Selenizza改性,以及相应的同等正常铺路等级沥青,进行了加速人工老化RTFOT,随后进行PAV。测试后,对老化沥青样品进行了不同的测试(针入度、R&BT、流变学等),以评估这些参数因老化而发生的变化。通常,道路铺路沥青在RTFOT老化后会损失一个针入度等级。
人工老化前后针入度和软化温度的测量结果如表3所示。
老化还表现为复数模量的增加和更大的弹性(相位角减小)。

对用Selenizza改性的不同样品和同等针入度等级的传统石油沥青在老化后复数模量和相位角演变的分析显示出相同的变化趋势。
这些测试表明,老化后,改性沥青发生的变化小于初始50/70沥青的变化。此外,对于改性样品,变化随着改性率的增加而减弱。改性沥青与同等标准沥青的比较表明,改性沥青的特征是变化较小,这意味着Selenizza减轻了老化效应并起到了老化抑制剂的作用。
3. 使用废弃植物油和天然沥青开发新型结合料 (The Development of a New Type of Binder Using Waste Vegetable Oil and Natural Bitumen)
沥青作为石油精炼的副产品,作为一种不可再生资源日益稀缺,可能导致供应短缺。为了应对这一趋势,专家们正在考虑寻找传统沥青结合料的替代品或改性剂的新方法。利用废弃植物油部分替代沥青不仅可以减少沥青消耗,还可以改善路面性能。最近发表的论文表明,废油可以恢复老化沥青结合料的性能,并为最终结合料提供更高的柔韧性。根据一些作者的说法,植物油中的芳香分、胶质和饱和分含量(沥青质除外)与石油沥青相似,确保了两种产品之间的良好相容性。另一方面,天然沥青Selenizza中的高沥青质含量及其抗老化特性,使其成为与主要由芳香分、胶质和饱和分组成的废弃植物油的再生特性相结合,用于开发创新结合料的合适选择。
在法国环境、发展与交通工程研究网络(CEREMA)和法国交通、网络与城市规划科学技术研究院(IFSTTAR)[3]联合进行的一项研究中,开发了一种新型结合料,使用71.4%的天然沥青Selenizza,与17.9%的菜籽油或葵花籽油废弃植物油以及10.7%的硬质沥青P15/25混合。
这种新型结合料由天然沥青Selenizza与两种废弃植物油(菜籽油和葵花籽油)以及硬质沥青P15/25混合而成,添加硬质沥青是为了补偿Selenizza中含有的无机物。混合物的组成见表4。


在这项研究中,检查了新型结合料的流变和力学性能,以及用该新型结合料制造的沥青混合料的性能。
结合料制造过程包括将天然沥青Selenizza在190°C下在混合器中预热,然后将废弃油和硬质沥青P15/25加入熔化的Selenizza中,将所有成分混合30分钟直至获得均匀的混合物。对两种类型的结合料(含葵花籽油和菜籽油)的针入度和软化温度的测量表明,新生产的结合料的工程性能接近P 35/50标准石油沥青,但特殊之处在于新型结合料的软化温度高于传统沥青(图2)。
使用热重分析在32°C至800°C的温度范围内,以10 K/min的恒定加热速率,对植物油、Selenizza、硬质沥青P 15/25和新生产的结合料样品进行了结合料成分挥发性的测定。测试结果表明,在低于250°C的温度下,没有任何样品具有挥发性,从而证明在190℃的结合料生产和混合料制造过程中不会发生成分的显著降解。
使用差示扫描量热仪(DSC)在-80°C至200°C的温度范围内进行了结合料热行为分析。观察到新开发的结合料具有比参考沥青更低的玻璃化转变温度,这导致更好的低温行为,如抗热裂性。新型结合料更好的松弛能力归因于植物油的贡献,其玻璃化转变温度低于传统沥青[4]。
使用Metravib分析仪,在1至80 Hz范围内的10个不同频率下进行了频率扫描测试。在-20°C至20°C范围内,测定了拉伸-压缩复数模量E,在20°C至60°C范围内,测量了剪切复数模量G。使用IFSTTAR开发的软件,在15°C的参考温度下构建了主曲线。结合料的复数模量和相位角主曲线(图3)表明,在-20°C至60°C的温度范围内,参考沥青比新型结合料略硬。对于降低频率aT x f ≤ 2.5 Hz(例如T≥20°C),新型结合料的相位角低于参考沥青,而对于降低频率aTf ≥ 2.5 Hz(例如T≤20°C),则高于参考沥青。
同时注意到,在非常低的温度下,新生产结合料的相位角不等于零,这意味着粘性效应与参考沥青相比不可忽略。因此,在低温下,新生产结合料的行为不能假定为纯弹性材料,这一特性可能有利于低温应力松弛。
对于混合料表征,设计了一种半粗粒式沥青混凝土(BBSG 0/10),使用了新型结合料,其组成如表5所述。集料和结合料在190℃下混合3分钟。
图3 15°C下结合料复数模量与相位角主曲线


图4 车辙深度演变

图 5:15°C 下混合料劲度模量的主曲线

图 6:沥青混合料的抗压性能和水敏感性。

使用大型车辙仪测定抗永久变形能力。对于每种沥青混凝土,在由碾压机压实的两块板上进行测试。使用深度计测量车辙深度随碾压次数的变化。使用新生产的结合料制造的混合料的车辙深度(在 60°C 下)低于对照混合料(使用 35/50 沥青)的车辙深度(见图 4),这与劲度模量测量结果不一致。使用新生产的结合料获得的更好的抗永久变形能力可能归因于天然沥青中高的沥青质含量[5],但其发生的真实机理尚不清楚。
混合料的劲度模量是根据标准 EN 12697-26 附录 E 使用 DT-CY(直接拉伸试验)测定的。实验在 -10°C、0°C、10°C、15°C、25°C、40°C 的温度下,以及 1 秒、3 秒、...、300 秒的加载时间下进行。事先确定了测试中必须施加的应变幅度,以保持样品的线弹性行为。每个温度和时间扫描的结果被用于构建参考温度为 15°C 的主曲线。如图 5 所示,参考沥青混合料表现出更高的刚度(随沥青结合料复数模量变化而变化),在15°C参考温度和0.02秒加载时间条件下,其模量达到13,171MPa。相比之下,另外两种沥青混合料的模量值分别为:采用天然沥青Selenizza的新型结合料为8,233MPa,而葵花籽油和菜籽油结合料的模量则为5,678MPa。菜籽油基沥青混凝土的劲度模量不符合标准 EN 13108-1 (2007) 要求的最低值 (7,000 MPa)。
为评估沥青混合料的水敏感性,制造了直径为 120 mm 的圆柱形样品以评估沥青与集料的粘结力。每种类型沥青混合料的测试样本被分成两批,一批在 18°C 的水中储存 7 天,另一批在 18°C 的温控箱中空气中储存 7 天。然后对试样进行压缩试验,并记录湿批 (i) 和干批 (C) 的最大抵抗力。关于水敏感性,植物油混合料和参考混合料之间没有观察到显著差异(图 6)。对于所有沥青混合料,比率 i/C 均超过 0.7,符合标准 EN 13108-1 (2007) 的要求。
这项研究必须进一步发展和完善,特别是关注使用新结合料的沥青混合料的抗疲劳性、老化和低温开裂性能。
4. 使用 100% RAP 集料和仅由植物油与天然沥青 Selenizza 组成的结合料进行表层创新沥青混合料设计的示例
回收沥青路面创造了一个材料再利用系统,优化了自然资源的使用。近年来,由于巨大的经济和环境效益,使用再生沥青路面(RAP),减少了对使用原生集料(在某些地区是稀缺商品)以及昂贵的全新沥青结合料的需求,经历了快速且持续的增长。
由 Riedl 和 Sorge[6](来自埃尔福特大学,作为国家创新计划的一部分)最近进行的一项研究提出并评估了一种创新的沥青混合料,该混合料使用 100% RAP 集料并添加了再生剂。新开发的再生剂旨在恢复流变性能,帮助重新平衡在沥青混合料制造过程及其使用期间失去软沥青质的已老化结合料的组成,恢复新鲜沥青的原始特性及其有效性。虽然它应含有高比例的芳香分以保持沥青质分散,但新结合料应含有低含量的饱和分,因为饱和分与沥青质高度不相容,并且对老化沥青的流变性能非常有害[7]。本研究研究的再生剂由废弃植物油和天然沥青 Selenizza 组成。在这个项目中,研究了 12 种沥青混凝土 AC 11 DN 的变体及其相关结合料,包括不含再生剂的参考变体、相同的老化混合料,以及含有沥青质量 3%、4% 和 8% 再生剂含量的老化混合料。在表 6(图 7)中,JA 指沥青混合料的参考变体,JB 指老化变体,JC 指添加了再生剂的老化沥青混合料。
测试计划的目的是确定老化的影响并评估使用再生添加剂的效果。
为了模拟沥青和沥青混合料的加速老化,实验室使用了以下方法:
•旋转薄膜烘箱试验(RTFOT),根据 DIN EN 12607-1:2013;
•压力老化容器(PAV),根据 DIN EN 14769:2012;
•热拌沥青混合料调节的标准规程(AASHTO R 30);
•布伦瑞克沥青混合料老化工艺(布伦瑞克工业大学开发的实用沥青混合料老化方法)。


图7 JA:参考沥青混合料,JB:老化沥青混合料,JC:具有再生剂的沥青混合料。
为了能够确定老化和使用再生添加剂的影响,并随后推导出拌合站生产的配方,采用了以下迭代方法:
•生产再生剂添加剂变体;
•研究再生剂添加剂对新鲜沥青的影响;
•检查和验证老化沥青及沥青混合料;
•研究在结合料中添加添加剂;
•研究沥青混合料中剂量水平的影响;
•准备试验路段,研究不同的已开发沥青混合料。
沥青混合料在其整个生命周期中包含的沥青结合料面临着不同的老化过程,主要是由于与环境的相互作用。老化机制包括氧化、蒸发和物理硬化。蒸发老化是一个纯粹的物理过程,涉及低粘度油组分从沥青中蒸发。该过程取决于沥青类型、温度和比表面积。在沥青混合料过程中,当薄沥青膜在 150°C 或更高温度下与集料接触时,芳香分馏分迅速蒸发,沥青质通常增加 1 至 4 wt.%。该过程导致粘度增加和粘附性降低。然而,当今的针入度级沥青相对不易挥发,因此在路面使用期间,这种类型的老化可以忽略不计。尽管挥发主要发生在拌合过程中,但也可能发生在储存、运输和摊铺过程中。氧化老化纯粹是一个不可逆的化学过程,主要由与大气氧气的反应引发,并在光氧化和热氧化过程的影响下发生。随后释放的氧气和活性气体(臭氧、氮氧化物、二氧化硫和三氧化硫)会裂解沥青组分,这对老化强度至关重要。阳光有重大影响。光会分裂氧键,紫外线辐射会分裂碳-氢或碳-碳键。结果,石油树脂形成沥青质,破坏了现有系统的平衡并增强了胶体不稳定性。尽管阳光照射深度仅为 5 微米,但它们有助于产生渗透到更深层的自由基。此外,温度对反应速率有很大影响,温度每升高 10°C,反应速率加倍。由于上述沥青胶体结构的不平衡,发生了所谓的结构老化。这种效应应被视为蒸馏和氧化老化的结合,而不是一种独立的老化形式。胶体分散的颗粒(胶束)增大并聚结成更大的聚集体。随着沥青结构中沥青质含量的增加,软沥青质的含量减少。这被称为从原始溶胶状态向凝胶状态的转变。由于这个过程,沥青在结构粘度上持续增加,从而老化,变得越来越硬,同时失去了其松弛能力。还有物理或结构硬化,这是一个独立的、可逆的过程,在不改变其化学成分的情况下改变沥青的流变性能。它涉及沥青中所含的蜡和类蜡组分在低于 90°C 温度下的结晶(空间硬化),这归因于沥青质馏分中存在的直链烷烃的结晶。由于这种效应,沥青变硬并增加刚性。在环境温度下,物理硬化非常缓慢,但在低温下会加速。
导致材料整体硬化并增加开裂问题的化学老化分为两类:短期老化,即沥青混合料制造过程中的快速化学老化;以及长期老化,发生在道路使用寿命期间。
在配制再生剂时考虑了上述因素。
为了补充和验证沥青混合料老化的结果,使用的结合料在相同参数下与沥青混合料平行老化。为此目的,将薄结合料膜(≤ 0.5 mm)倒入硅胶模具中,并与沥青混合料平行老化。
混合料的实用氧化老化程序是在布伦瑞克工业大学道路工程研究所开发的。在这一老化过程中,先前在强制式搅拌机中生产的沥青混合料被均匀铺设成2.0厘米的薄层,置于网孔尺寸为0.5厘米的金属架上,并在保持80°C恒温、空气流通良好的烘箱中存放96小时。(图 8)。加热后,沥青混合料再次造粒,并在强制式搅拌机中缓慢均匀地分阶段加热至生产温度 145°C。
新开发的再生剂由精细研磨的天然沥青 Selenizza 和富含不饱和酸的植物油组成(图 9)。在文献中广泛描述了将植物油作为再生剂添加到结合料中。多项系列测试报告称,通过在 RAP 中使用废植物油作为再生剂,可以显著提高抗疲劳性。同时,增加植物油的使用可能导致沥青混合料劲度降低,并且由于混合料中结合料与集料之间的粘结减弱,车辙发生的可能性更高。再生剂不仅需要充当软化剂,还必须完全恢复老化沥青的化学和流变性能。为此,天然沥青 Selenizza 也被适量使用,与植物油结合生产再生剂,旨在重新平衡 SARA 组成并修正所得结合料的物理化学特性,具有实现高抗车辙性能和形成复合沥青相的双重优势(得益于天然沥青高沥青质含量的抗老化特性)。沥青混合料中可重复使用的 RAP 最大量将取决于再生剂修正老化沥青物理和化学特性的能力。
图 8:布伦瑞克老化方法

图 9:实验室中的再生剂生产

此外,两种组分的比例对再生剂的储存能力以及结合料和沥青混合料的性能有相当大的影响。
考虑到老化对沥青性能的显著影响,对结合料进行了各种测试以研究老化行为和随后添加的再生剂的影响,这导致了对沥青混合料合适配方的初步验证。
由于老化,老化结合料(JB1、JB1.2 和 JB2)的软化温度与参考变体(JA1、JA2)相比有所增加,针入度降低。添加添加剂导致软化点显著降低(JC1、JC2),同时针入度显著增加(图 10 和 图 11)。


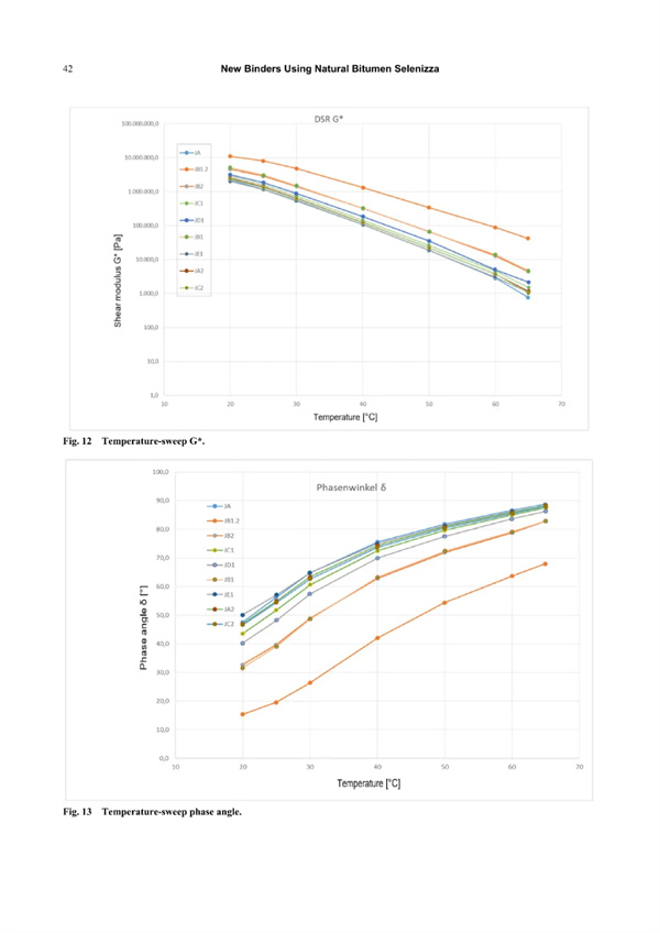
除了常规测试方法外,大部分性能导向测试是使用动态剪切流变仪(DSR)进行的。从 DSR 分析在 1.59 Hz 荷载频率和 20°C 至 65°C 温度范围内的测试结果观察到,老化变体(JB)在整个温度范围内比参考变体(JA)具有更大的刚性。再生变体(JC)又回到了初始值的范围内(图 12)。
在 1.59 Hz 频率下,温度从 20°C 到 65°C 扫描的相位角测试结果如图 13 所示。可以看出,老化变体(JB),特别是与参考变体(JA)相比,在整个温度范围内具有较低的相位角。再生变体(JC)又回到了初始值的范围内。
在先前的研究中,一些作者认为老化过程中产生的沥青质与最初存在于沥青中的沥青质有些不同,并且再生结合料的沥青质与软沥青质的比率与原始沥青显著不同,这影响了 RAP 混合料的长期性能。再生剂的作用包括通过添加新的软沥青质来稀释老化过程中产生的沥青质。根据一些作者的说法,当混合物中树脂和芳香分的百分比较高时,可以获得更好的再生效果。再生剂在沥青结合料中的扩散可能遵循两阶段机制。第一步是油在沥青的软沥青质相中扩散,然后是沥青质迁移到再生的软沥青质中。
在本研究中,使用 Iatroscan 分析测定了变体 JB1 和 JC1 各自的 SARA 组成。对于每个样品,进行了五次重复的单独扫描,并将五次读数的平均值视为结果。观察到添加添加剂导致主要 SARA 组的百分比分布存在差异。发现再生过程导致可极化馏分(即树脂(较高水平)和沥青质(轻微增加))的增加,同时伴随着芳香分和饱和分的减少(图 14)。
随后,进行了对比试验,以研究沥青混合料的行为以及与参考沥青混合料相比的混合料性能变化。
实验计划的主要部分包括使用动态轴向拉伸试验(根据 DIN EN 12697-24 和 DIN EN 12697-26)研究和评估沥青混合料的劲度和疲劳行为。
疲劳裂缝是沥青路面最常见的损坏表现之一。当沥青结合料的内聚结合能和集料-沥青基体中集料与沥青结合料之间的粘附结合能受到重交通荷载(机械应力)和沥青混合料快速冷却(低温应力)的影响时,就会发生疲劳裂缝。机械应力和热应力的叠加导致合成拉应力增加,从而增加了开裂的风险。研究沥青混合料在低温和中温下的力学性能行为至关重要。在这项研究工作中,间接拉伸疲劳试验研究了沥青混合料的疲劳和动态特性。所有变体的疲劳函数测定在相同的实验条件下进行,测试温度为 20°C,荷载频率为 20 Hz。20°C 下劈裂抗拉强度试验的疲劳函数如图 15 所示。纵轴显示失效前的荷载循环次数,横轴显示初始弹性应变。观察到,与老化变体(JB)和参考变体(JA)相比,对于相同的初始弹性应变,再生变体(JC)能承受更多的荷载变化直至宏观开裂。
关于劲度,利用时间-温度叠加原理建立了测试温度与荷载频率之间的等效关系,以预测不同温度和荷载频率组合下的劲度模量。图 16 显示了在 10 Hz 频率下,劲度-温度函数的部分摘录。
图 12:温度扫描 G。*

图 13:温度扫描相位角


图 14:SARA 组分分析 - 图形对比。

图 15:动态劈裂拉伸试验的疲劳行为。

在 -20°C 至 ±30°C 的温度范围内,10 Hz 频率下的劲度模量-温度函数的部分摘录如图 16 所示。老化导致在所考虑的温度范围内劲度模量增加(JA 到 JB),而添加添加剂后劲度模量降低(JB 到 JC)。将再生变体与参考变体(JC-JA)进行比较,观察到再生后的数值处于参考变体的范围内,甚至更低。
对沥青混合料进行了抗车辙性能测试。经过 10,000 次循环后的车辙试验部分结果如图 17 所示。观察到没有变体达到 8 mm 车辙深度的失效标准,并且它们都在允许的标准范围内。
为了研究再生添加剂对沥青与集料界面粘附粘结的影响,根据 EN 12697-11 进行了滚动瓶试验。沥青覆盖率如表 8 所示,其中数值仅有微小偏差。与参考变体 JA 相比,变体 JC(24-72 小时)的覆盖率高出 5% 到 10%。
为了验证这项研究工作的结果,在埃尔福特附近的格罗伊森(Greußen)铺设了一个试验路段,该路段的上层使用了 100% RAP 与植物油和 Selenizza(图 18)。
这项研究工作将在未来几年通过对铺设试验路段的现场长期观测进一步继续,以阐明和更好地描绘工艺改进,这将带来更好的成果和本项目开发技术的潜在节约。此外,有必要制定工业规模的生产和使用通用指南,为在其他拌合站实施统一程序以保证沥青混合料的均匀质量奠定基础。
图 16:劲度模量-温度函数

图 17:车辙试验

表 8:沥青覆盖率

图 18:在 D-99718 格罗伊森(Greußen)的试验路段。

5. 结论
近期的研究工作集中在替代性沥青结合料上,例如源自天然沥青和植物油的结合料。
特别发现,天然沥青 Selenizza 强烈影响沥青的力学行为,并且随着天然沥青含量的增加,降低了改性沥青的老化敏感性。因此,对于等效的针入度等级,原油沥青与 Selenizza 混合后,比传统的道路沥青更耐老化。
天然沥青的硬化和抗老化特性被有利地用于开发新的结合料,将 Selenizza 的高性能和耐久性特性与废植物油的再生能力相结合,后者的芳香分、树脂和饱和分含量与石油沥青相对接近。
在实验室开发了一种由天然沥青 Selenizza 和废植物油制成的新型结合料。其特性类似于传统的 35/50 直馏沥青,但软化温度值更高。
另一条研究路线,反转了天然沥青 Selenizza 与废植物油的比例,研究了基于废植物油和天然沥青 Selenizza 的再生剂的生产,允许设计具有高 RAP 含量的沥青混合料。通过添加新开发的再生剂,成功实施了含有 100% RAP 集料的混合料。
参考文献
[1] Santarelli, M. L., and Scarsella, M. 2005. “用于改性蒸馏沥青的天然沥青:热流变表征。” Rassegna Del Bitumen 50(5):21-30.
[2] Themeli, A. 2015. “天然沥青在生产硬质沥青结合料和高模量混合料中的应用潜力研究。” 博士论文,斯特拉斯堡大学。
[3] Somé, S.C., et al. 2016. “废向日葵油和菜籽油改性天然沥青在沥青路面设计中应用潜力的演变。” International Journal of Pavement Research and Technology 9(5): 368-75.
[4] Zhang, L., Bahia, H., and Yi-Qiu, T. 2015. “生物基和精炼废油改性剂对沥青结合料低温性能的影响。” Construction and Building Materials 86: 95-100.
[5] Hofko, B., et al. 2015. “软沥青质和沥青质馏分对沥青力学行为和微观结构的影响。” Materials and Structures 49(3):1-13.
[6] Steffen, R., and Sorge, R. 2017. “Juvenate:沥青生产的创新合同。” 埃尔福特应用技术大学研究项目 AiF。
[7] Bullin, J. A., et al. 1997. 优质沥青再生剂的开发。第一阶段:技术可行性。最终技术进展报告 DE97006951,能源部。

















隐私政策 一般法律条款和法律声明
©2019西安众力天然沥青版权所有 陕ICP备19019525号-3